باز
بازطراحی زیبا و حرفه‌ای فلوچارت‌ها در قالب SVG
فوری
موارد دیگرزمان باقی‌مانده برای ارسال پیشنهاد

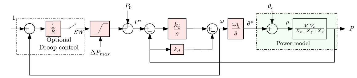
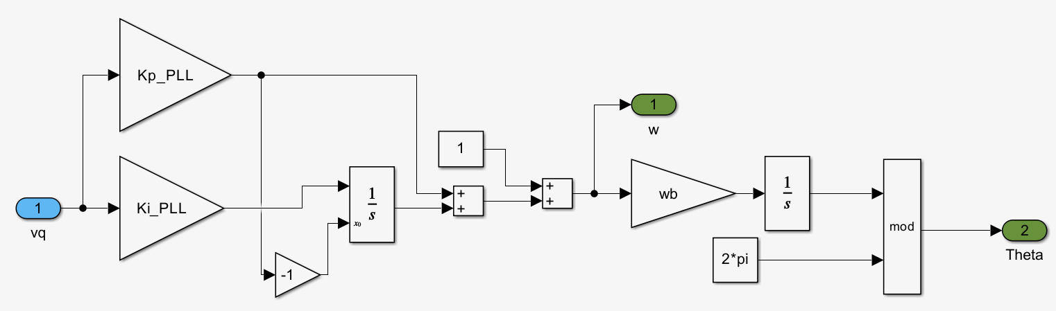
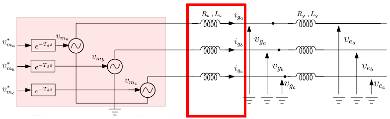
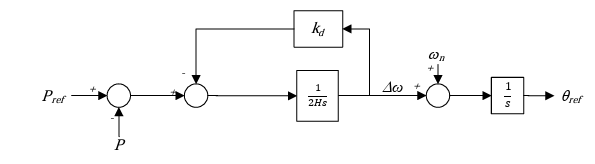
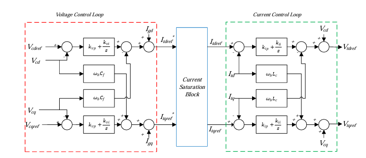
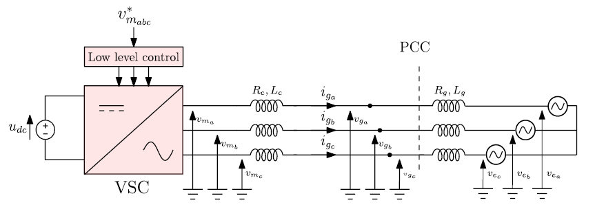
این پروژه برای کار فریلنسینگ است. ما حدود ۲۰ نمودار فلوچارت داریم که کیفیت پایینی دارند و باید دوباره ترسیم و به فایل‌های قابل ویرایش در قالب SVG تبدیل شوند. این فایل‌ها باید در نرم‌افزار Inkscape که رایگان و متن‌باز است نیز قابل ویرایش باشند. لازم است این نرم‌افزار را نصب کنید و شکل‌ها را با دقت بازطراحی کنید به گونه‌ای که دقیق، متقارن و مرتب باشند و از نظر ظاهری نیز جذابیت و هماهنگی داشته باشند. شکل‌های نهایی باید کاملاً مشابه نمونه‌های اصلی باشند اما با کیفیتی تمیز و حرفه‌ای ارائه شوند.

برای نمونه، دو شکل همراه با فایل‌های Inkscape آنها در اختیار شما قرار داده شده است. با استفاده از این نمونه‌ها، باید بقیه شکل‌ها را بازطراحی کرده و هم فایل Inkscape (فرمت SVG) و هم نسخه PDF آنها را تحویل دهید. هر شکل باید برای صفحه A4 طراحی شود و فونت متن‌های داخل آن Times New Roman با اندازه ۱۴ باشد.

در صورت وجود معادلات در شکل‌ها، می‌توانید آنها را به فرمت لاتک (LaTeX) با استفاده از علامت دلار تبدیل کنید. در Inkscape نیز می‌توانید معادلات را از مسیر Extensions → Render → LaTeX (PDF) وارد کنید تا به درستی نمایش داده شوند.

اگر روش بهتری نسبت به Inkscape برای ایجاد فایل‌های SVG قابل ویرایش در نرم‌افزارهای متن‌باز سراغ دارید، لطفاً اطلاع دهید. با این حال خروجی نهایی باید در قالب SVG و سازگار با Inkscape باشد.


فریلنسرهایی که در این پروژه پیشنهاد ارسال کرده‌اند
کارفرما این پیشنهاد را انتخاب کرده است.
tionrelax
tionrelax4.91(70) امتیاز
زمان تحویل: 1 روز
ارسال پیشنهاد در:
زمان تحویل: 1 روز
ارسال پیشنهاد در:

آخرین پروژه های موارد دیگر

projects
طراحی ربات شبکه های اجتماعی

وب سایت ارائه خدمات پیامک داریم و تمام سرویس هاrest هستن

میخوایم ربات برای شبکه های اجتماعی داشته باشیم

مشتری با شماره موبایل و رمز ثابت لاگین کنه و otp براش پیامک بشه و بعد از تایید وارد بشه

برای فاز اول پروژه نیاز به ارسال تکی و گروهی ، دفترچه تلفن و گزارشات ارسال و دریافت داریم

موارد امنیتی برامون مهمه و پنل ادمین میخوایم برای ربات برای مدیریت ربات و تغییرات چیدمانی و و...

فرصت انتخاب
پیشنهادها6
بازطراحی زیبا و حرفه‌ای فلوچارت‌ها در قالب SVG

این پروژه برای کار فریلنسینگ است. ما حدود ۲۰ نمودار فلوچارت داریم که کیفیت پایینی دارند و باید دوباره ترسیم و به فایل‌های قابل ویرایش در قالب SVG تبدیل شوند. این فایل‌ها باید در نرم‌افزار Inkscape که رایگان و متن‌باز است نیز قابل ویرایش باشند. لازم است این نرم‌افزار را نصب کنید و شکل‌ها را با دقت بازطراحی کنید به گونه‌ای که دقیق، متقارن و مرتب باشند و از نظر ظاهری نیز جذابیت و هماهنگی داشته باشند. شکل‌های نهایی باید کاملاً مشابه نمونه‌های اصلی باشند اما با کیفیتی تمیز و حرفه‌ای ارائه شوند.

برای نمونه، دو شکل همراه با فایل‌های Inkscape آنها در اختیار شما قرار داده شده است. با استفاده از این نمونه‌ها، باید بقیه شکل‌ها را بازطراحی کرده و هم فایل Inkscape (فرمت SVG) و هم نسخه PDF آنها را تحویل دهید. هر شکل باید برای صفحه A4 طراحی شود و فونت متن‌های داخل آن Times New Roman با اندازه ۱۴ باشد.

در صورت وجود معادلات در شکل‌ها، می‌توانید آنها را به فرمت لاتک (LaTeX) با استفاده از علامت دلار تبدیل کنید. در Inkscape نیز می‌توانید معادلات را از مسیر Extensions → Render → LaTeX (PDF) وارد کنید تا به درستی نمایش داده شوند.

اگر روش بهتری نسبت به Inkscape برای ایجاد فایل‌های SVG قابل ویرایش در نرم‌افزارهای متن‌باز سراغ دارید، لطفاً اطلاع دهید. با این حال خروجی نهایی باید در قالب SVG و سازگار با Inkscape باشد.

فرصت انتخاب
پیشنهادها2
Full-Stack Product Generalist تجربه و ذهنیت استارتاپی

ما یک استارتاپ دیپ‌تک در حوزه فین‌تک و هوش مصنوعی هستیم که در حال توسعه یک پلتفرم پیش‌بینی رفتار بازارهای مالی بر پایه الگوریتم اختصاصی و مدل‌های یادگیری ماشین می‌باشیم.

ما به دنبال یک Full-Stack Product Generalist با تجربه و ذهنیت استارتاپی هستیم تا به ما در ساخت MVP محصول و آماده‌سازی برای ورود به بازار کمک کند. شما به‌طور نزدیک با تیم اصلی (تحقیق و توسعه الگوریتم، رشد و مارکتینگ، و بیزنس) همکاری خواهید کرد تا یک محصول واقعی از صفر ساخته شود — از Signal API و داشبورد وب/موبایل گرفته تا سیستم عضویت و پرداخت.

مدت همکاری: شروع در سریع‌ترین زمان ممکن – 4/همکاری فول‌تایم با امکان رشد به سمت‌های بالاتر (Head of Engineering / CTO).

آنچه نیاز داریم:

۱. توسعه Backend

طراحی و پیاده‌سازی API با Python (FastAPI/Django)

مدیریت پایگاه‌داده (PostgreSQL/SQL) و Queue (Redis)

پیاده‌سازی Signal API و اتصال به مدل‌های ML

۲. توسعه Frontend

ساخت داشبورد وب و موبایل با React/Next.js + Tailwind

نمایش سیگنال‌ها، چارت‌ها و داشبوردهای ریسک

طراحی تجربه کاربری ساده و روان

۳. زیرساخت و عملیات

کار با Docker و CI/CD (GitHub Actions)

استقرار در محیط ابری (AWS/GCP)

پیاده‌سازی لاگ، مانیتورینگ و امنیت پایه (OWASP, rate-limiting)

۴. سیستم عضویت و پرداخت

پیاده‌سازی ۴ تیِر عضویت

ادغام با سرویس‌های پرداخت (Stripe/Adyen؛ آماده‌سازی UPI و کارت‌های محلی)

ایمیل و Push Notifications با تأخیر پایین

فرصت انتخاب
پیشنهادها21
استخدام بازاریاب حضوری برای جمع‌آوری و پخش کارت ویزیت

به یک نیروی فعال و خوش‌برخورد نیاز داریم برای همکاری در زمینه‌ی پخش و جمع‌آوری کارت ویزیت در تهران بازار

📋 شرح کار:

•    مراجعه به کسب‌وکارها جهت معرفی خدمات ما
•    دریافت کارت ویزیت آن‌ها و ارائه کارت ویزیت ما

💰 حقوق و پرداخت:

•    برای هر کارت ویزیت دریافتی یا داده‌شده: ۵,۰۰۰ تومان
•    پرداخت به‌صورت جمعی یا روزانه (به انتخاب شما)

📍 ویژگی‌های مورد نیاز:

•    فن بیان خوب و ظاهر آراسته
•    مسئولیت‌پذیر و خوش‌قول

⏰ زمان کار: انعطاف‌پذیر (در بازه ی تایم کاری بازار)

فرصت انتخاب
پیشنهادها2
طراحی داخلی واحد ا‌پارتمان

واحد 240 متری دارای ۴ خواب دو مستر تعداد کل سرویس ها ۴ عدد طراحی کابینت و کمد دیواری به سبک مدرن

فرصت انتخاب
پیشنهادها13
طراحی حرفه ای اسلاید در پاورپوینت

محتوای اسلایدهای پاورپوینت آماده است و نیاز به طراحی حرفه‌ای و زیبا دارد. هدف این است که اسلایدها جذاب، پویا و همراه با انیمیشن‌های مناسب باشند تا تاثیرگذاری بیشتری داشته باشند. برای انجام این کار، طراح باید هم بر جزییات و ساختار پاورپوینت مسلط باشد و هم خلاقیت بصری لازم برای زیباتر کردن اسلایدها را داشته باشد. تعداد اسلایدها حدود ۱۰ عدد است و امکان ادامه همکاری می باشد. جهت همکاری لطفا حتما نمونه طراحی ارسال کنید.

فرصت انتخاب
پیشنهادها35
ویرایش و رفع ایراد یک فایل اکسس

سلام. یک فایل اکسس داریم که ورودی های مختلف بهش میدیم و در نهایت مجموع این ورودی هارو در بازه تاریخی که بهش میدیم بهمون میده. حالا یه مشکلی به وجود اومده اونم اینکه مجموع یکی از این ورودی هارو اشتباه محاسبه می کنه می خواستم فریلنسرهای عزیز اونو شناسایی و برطرف کنن. این فایل توسط یه نفر ایجاد شده که رفته و دسترسی بهش نداریم.

فرصت انتخاب
پیشنهادها6
کلون کردن کد از گیت و اجرا در داکر (Frr)ابتدا کد هایی باید از گیت دانلود شود و روی داکر اجرا شود که مربوط به Frr هست .یعنی Eigrp در یک روتر متن باز مثل Frr نشان داده شود .
فرصت انتخاب
پیشنهادها3
افزودن محصول در ووکامرس با رعایت اصول سئو پایه

یک فروشگاه آنلاین معتبر در زمینه فروش محصولات دیجیتال و لوازم جانبی، به دنبال همکاری با چند نیروی دورکار متخصص در وارد کردن محصول به ووکامرس است.

هر محصول شامل موارد زیر خواهد بود:

✅ وارد کردن اطلاعات کامل محصول از سایت مبدا (عنوان، توضیحات، ویژگی‌ها، متغیرها، تصاویر و مشخصات)

✅ افزودن تصاویر بدون واترمارک یا حذف واترمارک در صورت نیاز

✅ تعریف محصولات متغیر و ویژگی‌ها (رنگ، مدل، ظرفیت و ...)

✅ نوشتن توضیحات کوتاه و توضیحات اصلی بر اساس پرامپت و اطلاعات داده‌شده

✅ رعایت اصول پایه‌ای سئو (Basic SEO) با استفاده از Rank Math (عنوان، متا توضیحات، کلمات کلیدی مرتبط، اسلاگ بهینه و ...)

✅ بارگذاری منظم و استاندارد در ووکامرس

شرایط و الزامات

تسلط کامل به ووکامرس (WordPress) و فرآیند وارد کردن محصول

تجربه کار با محصولات متغیر و ویژگی‌ها

آشنایی با Rank Math و اصول پایه‌ای سئو در بخش محصولات

توانایی درج توضیحات سئو بیسیک (بر اساس پرامپت و دستورالعمل داده‌شده)

دقت و توجه به جزئیات (اطلاعات باید صحیح و کامل وارد شوند)

ارائه نمونه‌کار مرتبط (الزامی)

جزئیات همکاری

دستمزد: به ازای هر محصول بین ۵,۰۰۰ تا ۱۰,۰۰۰ تومان

نوع همکاری: دورکاری

مدت زمان پروژه: محدود (3 روز تا یک هفته)

امکان همکاری با چند نیروی همزمان (پروژه بین نیروهای تایید شده تقسیم خواهد شد)

مهارت‌های مورد نیاز

WordPress / WooCommerce

Rank Math (Basic SEO)

مدیریت تصاویر و محصولات متغیر

آشنایی با فتوشاپ یا نرم‌افزارهای مشابه برای حذف واترمارک

دقت بالا در ورود اطلاعات

توضیحات تکمیلی

اطلاعات بیشتر (از جمله سایت مبدا، ساختار دسته‌بندی و دستورالعمل دقیق وارد کردن محصول) پس از تایید همکاری در اختیار فریلنسر قرار خواهد گرفت.

🔹 اگر تجربه مشابه دارید و می‌توانید پروژه را در مدت زمان مشخص با کیفیت بالا انجام دهید، لطفاً نمونه‌کار خود را ارسال کنید.

فرصت انتخاب
پیشنهادها39
بهسازی سایت

با سلام من یک سایت آموزشی دارم که مطالبی در مورد آموزش مقطع ابتدایی در آن بارگذاری می کنم. قالب این سایت یک قالب آماده وردپرس همراه با افزونه های جت انجین است. به متخصصی نیاز دارم که بتواند علاوه بر آشنایی با وردپرس به افزونه های جت انجین هم تسلط داشته باشه تا راحت تر بتونه مطالب سایت را بهینه سازی کنه مثل بهینه سازی صفحه اول، بهینه سازی وبلاگ، بهینه سازی فروشگاه جهت بارگذاری محصولات دانلودی و بهینه سازی کل سایت. لازم به ذکر است که یکسری مطلب مورد نیاز آماده شده و یا درحال آماده سازی هست و یکسری مطالب هم بارگذاری شده است. برای مشاهده سایت می توانید به آدرس زیر مراجعه نمائید.

https://www.farassad.com

فرصت انتخاب
پیشنهادها22